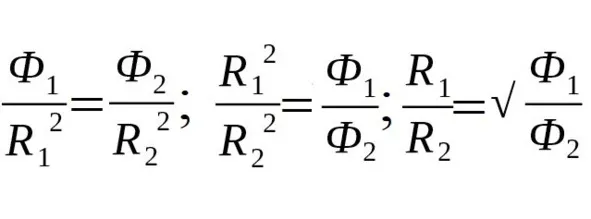
Рис. 19 Равенство двух световых потоков в точке О

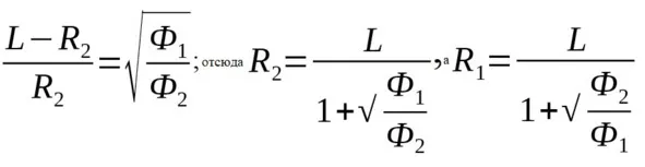
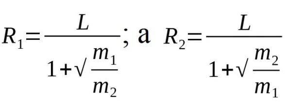
Если будет известно расстояние между источниками света L, то R1=L-R2, отсюда

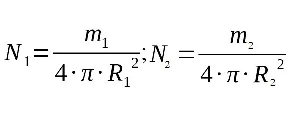
Рассмотрим ситуацию с гравитацией.
Возьмем две массы m1> m2 излучающие СВЕТ Ф1> Ф2
Каждая масса будет концентрировать вокруг себя гравитационные потоки, плотность которых будет равна:


Рис.20 Равенство двух Эфирных потоков в точке О
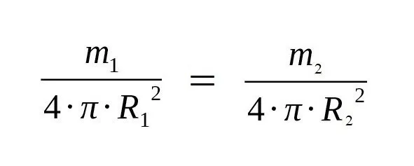
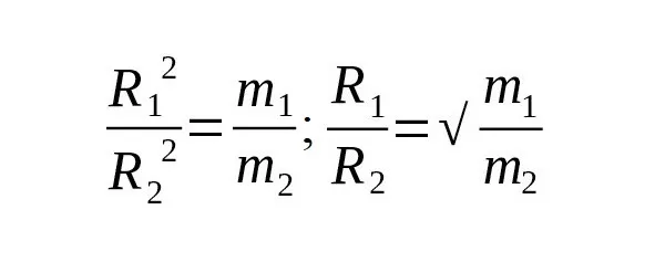
В некоторой точке О плотность гравитационных потоков будет равна:


тогда, если расстояние между массами L, то

Отсюда силу взаимодействия двух масс можно определить по формуле:

