
Где: Ф – световой поток. Чем дальше находится от источника света, тем меньший световой поток приходится на единицу площади. Наука утверждает, что сила света,

из чего следует, что сила света не зависит от расстояния до источника света. Так ли это? Рассмотрим это на примере: см. Рис. 18

Рис. 18 Световой поток в зависимости от расстояния
По данной формуле мы имеем: J1=J2=J3.
Но это справедливо лишь только в том случае, если мы соберем световой поток со всей площади. Однако S1 <S2 <S3, значит ΔФ1> ΔФ2> ΔФ3 приходящийся на единицу площади.
Если S1 <S2 <S3, то J1> J2> J3.
И чем дальше от источника света, тем меньше светового потока приходится на единицу площади, соответственно, чем дальше от источника света, тем сила света меньше. Значит: J=E · S.
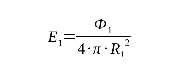
Рассмотрим два источника света, световые потоки которых известны и Ф1> Ф2.
Освещенность от первого источника:

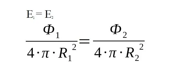
от второго:

Равенство освещенности от Ф1 и Ф2 будет в некоторой точке О.

