
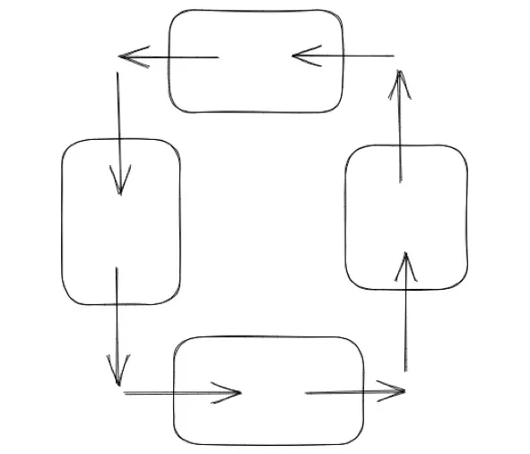
Рис. 3. Две дуальных пары в четверице
Причём, эти пары, очевидно, друг от друга дуально отличаются: одна из них в Науке складности известна как «агрессивная», между элементами которой возникает «коротыш». А вторая известна, как «пассивная,» элементы которой друг с другом почти не взаимодействуют и этим же качеством они демпфируют агрессивную пару. Видится вероятным, что именно взаимная пассивность этой второй пары процессов долгое время делала её незаметной для естествознания.
За примерами таких четвериц мы отошлём пытливого читателя к первому тому Науки складности, где они подробно рассмотрены в различных проявлениях, включая четыре фундаментальных физических взаимодействия и четыре взаимоисключающих (т.е., чистых и не смешиваемых) стратегии социального поведения.
Аналогия
Если мы обратимся к определению сформулированного Ф. Энгельсом закона единства и борьбы противоположностей, то прочтём:
Движение и развитие в природе, обществе и мышлении обусловлено раздвоением единого на взаимопроникающие противоположности и разрешением возникающих противоречий между ними через борьбу.
И это звучит слишком «философски», поскольку определения понятий «движения», «развития», и «взаимопроникающих противоположностей» вынесены за скобки. Гегель, давший основу этим рассуждениям, говорит о двух «началах», которые тоже неизвестно чем являются. Но если мы, в нашей новой парадигме, скажем, что «начало» – это процесс, если, обсуждая диалектический закон, мы скажем, что «есть два процесса…», то дело прояснится и многое начнёт вставать на свои места. В частности, предельно прозрачными становятся механизмы закона перехода количественных изменений в качественные, которые обсуждаются в первом томе Науки складности и закона отрицания отрицания, подробному исследованию которого, по сути, и посвящёна настоящая работа.
Итак, мы обнаружили то простое обстоятельство, что любая дуальная пара – это пара противоположно направленных процессов и она всегда сопровождается комплементарной ей парой двух других процессов. Таким образом, в составе любого явления мы всегда сможем обнаружить 4 процесса, которые будут отличны друг от друга, причём два из них будут агрессивными, т.е., вызывать при взаимном соприкосновении значимое увеличение энтропии, а два – пассивными, т.е. не будут при соприкосновении вызывать значимого увеличения энтропии. Вместе эти четыре процесса образуют циклическую конструкцию, в которой трансформируется и передаётся некая субстанция.
Каждый из этих процессов не равен своему парному и, уж естественно, не равен обоим процессам другой пары. Иными словами, все эти процессы не взаимозаменяемы. Если же мы рассмотрим каждый из них в отдельности, в своей области действия, то обнаружим, что они также друг друга взаимоисключают. Т.е., в рамках одного из этих процессов, мы не обнаружим других трёх процессов того же уровня. Если бы они не исключали друг друга, если были бы взаимозаменяемы, то не было бы смысла им быть в таком количестве, однако диалектика говорит нам о том, что они обязаны быть.
Тезис о взаимоисключении – важная часть картины, на восприятие которой мы внутренне настраиваемся при процессном подходе и о нём необходимо постоянно помнить при анализе реальных явлений окружающего мира.
Если, рассуждая логически, мы видим, что эти процессы будут различаться, то следующим закономерным для нас вопросом будет «чем?» – в чём заключается их различие?
В первом томе мы показали, что это различие носит качественный (а не количественный) характер. Анализируя качества четвёрки процессов одного уровня, мы обнаружим, что в ней обязательно найдутся процессы, которым мы сможем приписать выполнение «консолидации», «хранения», «поиска» и «переноса». И хотя, на первый взгляд, это выглядит как плохая эзотерика, во-первых, это методически проверяемое обстоятельство, а во-вторых, для описанной конструкции из активной и пассивной дуальных пар, способных сформировать замкнутый цикл, это сочетание – единственное корректное решение и оно носит название «складность».
Тот процесс, что консолидирует, будет отбрасывать лишнее, чтобы оставлять нужное. Это всегда сопровождается выжиманием из вещества дестабилизирующей его энергии и сплочением остатка. Хорошим примером такого процесса в природе является горение, а в физике – кулоновское взаимодействие.
Тот процесс, что занимается хранением будет принимать и удерживать всё, что попадёт в область его действия и всё это будет ложиться в него пластами. Хорошим примером такого процесса является Земля, которая с готовностью принимает всё, что на неё само падает. Вообще всё. А в физике примером является сильное взаимодействие.
Тот процесс, что всё перемешивает, будет способен извлекать из разных мест, в первую очередь, из недр сохраняющего процесса, активные вещества и массово приводить их в движение и соприкосновение, рождая какие-то новые формы. Этот процесс хорошо иллюстрируют всевозможные течения – родники, реки и иные водные формы. В физике примером такого дестабилизирующего процесса является слабое взаимодействие.
А тот процесс, что занимается переносом будет всегда максимально и хаотично распространяться, перенося всё, что в него попадёт во все стороны на далёкие расстояния и там обменивая на что-то другое. Броуновское движение воздуха, казалось бы, хаотичное, но приводящее к заполнению всего доступного пространства и удивительно быстрому распространению любых запахов и аэрозолей – пример такого процесса. А в физике его аналогом является гравитация, действующая на бесконечно большие расстояния.
Важно, однако понимать неполноту терминологии приведённых описаний. Иными словами, один из четырёх процессов всегда будет демонстрировать качество консолидации, но качество консолидации не является исчерпывающе полной характеристикой этого процесса.
Поэтому, одной из задач личного расширения картины мира, равно как и одним из методов анализа в практике Науки складности является метод аналогий. Рассматривая какое-либо явление, нам необходимо не сужать его архетип до тех аспектов, что мы видим (например, все процессы консолидации до образа огня, или любое горение ограничивать образом консолидации), а расширять то, что мы наблюдаем до диапазона, который даёт нам понимание всего многообразия известных нам аналогичных процессов и того общего, что их объединяет.
Это позволяет предполагать в изучаемом предмете качества, которые функционально являются обязательными для подобных процессов, но ранее просто не попадали в наше внимание.
Например, наблюдение за огнём даст нам много информации о процессах консолидации, но и анализ иных процессов «консолидации» даст нам немало дополнительного понимания о природе и качествах огня. Мало кто обращает внимание на кромку огня – границу, на которой происходит высушивание, прогрев и предподготовка вещества к воспламенению. Между тем, это фундаментальная схема, присущая всем процессам консолидации – мы можем её обнаружить и в политике, в форме прогрева общественного мнения и «испарения» неугодных лидеров мнения, и в военных манёврах в форме обязательной артподготовки перед наступлением. Но кто-то обнаружит эту кромку, наблюдая за огнём и затем начнёт подмечать её в остальных процессах, а кто-то выведет её необходимость из анализа формальной природы процесса консолидации и затем, зная на что смотрит обнаружит её и у огня и в военном деле.
Например, наблюдая за процессами переноса, не стоит замыкаться только лишь на броуновском движении, полезно принимать во внимание также и способность гравитационного взаимодействия создавать сгущения и даже вызывать коллапс. Тогда для нас не станет неожиданностью наличие в природе мест, в которых скапливаются запахи, существование торнадо, а также принципы конкуренции и монополизации в экономике.
В скобках отметим, что метод аналогии считается в науке довольно ненадёжным, поскольку люди очень любят проводить аналогии по принципу «я так вижу». Однако существует научный метод, позволяющий определять формальные правила для проведения аналогий. Наука складности использует именно этот формальный подход, беря за основу топологическую однозначность рассмотренной четверицы и не приемлет волюнтаристского подхода к проведению аналогий. В первом томе Науки складности, на с.74 подробно рассматривается подход к проверке корректности четверичных аналогий.
По причинам, которые будут рассмотрены далее, процессные образы Науки складности не имеют в современных языках своих устоявшихся терминов. Поэтому в дальнейшем, апеллируя к методу аналогии, мы будем использовать различные, подходящие к контексту термины для четырёх взаимосвязанных процессов. Всякий раз это следует интерпретировать, расширяя диапазон аналогии, т. е., как «процесс, имеющий в том числе и названное качество». В первом томе мы показываем, что (в отличие от свойств) наборы качеств взаимоисключающих процессов не пересекаются, в т.ч., рассматриваются правила интерпретации сходных фазовых состояний различных процессов.