

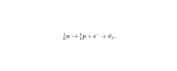
Нейтрон распадается на протон, электрон и электронное антинейтрино.
Если протон и электрон остаются в ядре и в электронной оболочке, то ядро становится ядром таллия. Если же нейтрон выталкивается из ядра и распадается уже вне его, то есть версия, что в этой ситуации происходит распад уже протона. Распад протона может идти вот во этой схеме

Протон распадается на позитрон и пион. Современная наука в теории не отвергает возможности распада протона, но вот только всяческие попытки провести эксперименты и наблюдать этот процесс, пока что успехом не увенчались.
Вот этот позитронный заряд и есть то, что нам нужно.
Теперь еще раз, коротко.
Нагреваем ртуть. Растет внутреннее давление. Нейтроны в изотопах ртути начинают распадаться на протон и электрон. При этом могут образовываться изотопы таллия. Но также может идти и процесс распад протонов да состояния позитронов и мюонов. При этом распад нейтронов приводит устойчивые изотопы ртути к состоянию неустойчивого изотопа ртути (197) Hg, которая превращается в устойчивый изотоп золота (197) Au.
Вот почему, когда на Руси коммунисты разрушали храмы, в шариках куполов, в самих подкрёстных яблоках находили белый порошок. Вероятно, это был таллий. Вся это «химия» очень правдоподобно объясняет откуда у цивилизаций древнего Египта, Древней Индии, и других древних цивилизаций было такое огромное количество золота. Его измеряли просто комнатами.
На самом деле выясняется, что золото было просто побочным продуктом энергетических и техномагических технологий. Это были, если выразится современным языком, отходы производства.
Но нас-то интересует больше получение потока энергии, который может образовываться в конструкции, которая называется Ваджра.
Если всё, как предполагается, то на выходе из ваджры мы имеем два потока. Один электронный, от распада нейтронов, второй позитронный от распада протонов. Позитроны и нейтроны это две частицы которые устроены одинаковы, но имеют разное наполнение. Сам объем, который наполнен либо Огнем, либо Светом скручен из нейтрино. Это строительное вещество. Субстанция. Обладает субстационарной массой. И на выходе из Ваджры нейтрино скручиваются в луч спиральной структуры, несущий электроны и позитроны.
А так как позитроны и электроны – это представители антивещества и вещества, то можно предположить, что происходит процесс аннигиляции.
Значит дуги ваджры не должны замыкаться с центральным штоком.
Значит Ваджра использует внутреннюю энергию атомного ядра ртути. По мере превращения ртути в золото, образуется раствор золота в ртути. Ваджру разбирали раствор сливали и наполняли новой порцией ртути. А раствор золота подвергали выпариванию, получая чистое золото и очищенную порцию ртути, которую затем опять пускали в качестве топлива для Ваджры, для Жезла Гермеса, для телепорта, для урабороса, для Чаши Грааля и для работы других техномагических устройств.
Я конечно же буду всё проверять в экспериментах. Пока не делал и потому, что если есть непонятные места, то какой смысл заниматься тем, чего не понимаешь. Надо построить хотя бы более-менее внятную теорию.
Есть еще причина. Прошлым летом я занимался своими железками, занимался ртутью, увлёкся, и вот это увидела моя жена. Скандал был до потолка. На всё садоводство. Дескать ты тут за все время одиночного проживания уже всё отравил, отравил дачу, огород, и всё садоводство.
А объяснить что-то женщине бесполезно. Людей так запугали смертельной опасностью ртути, что никакие разумные доводы не действуют. Моя хоть и человек с инженерным образованием теплоэнергетика, но что-то слушать и слышать женщина не хочет. Еле, еле успокоил.
А этой зимой я на даче не жил. Всё дома просидел. Болел. В больнице опять лежал. Вроде отпустило. Тьфу, тьфу, тьфу… На даче все заморожено и завалено снегом. Я втихаря баночку с ртутью-то привез. Но вот что-то делать – это простите… Не дай бог увидит… Всё… это будет конец света. Комнат две, никуда не спрячешься.
Ну, ладно, так уж совпало, что на днях моя ложится в больницу. В неврологию. Ничего страшного. У меня будет дней десять. Вот так и живу. А что делать…?
Короче, наиболее ценным веществом, наиболее ценным материалом является ртуть. Это первое. Нужно проводить мероприятия на снятие ограничений по использованию ртути. Это всё обман. Это второе. Золото из ртути можно производить в промышленных масштабах. Это третье.
И четвертое. Знаете, где в Советском Союзе в промышленных объемах производили ртуть? В Киргизии, там этот комбинат до сих пор работает. И именно поэтому США так стремятся создать военную базу в Киргизии, в горах, в Манасе. И второе место по промышленному производству ртути всегда было в …… Донбассе, в Горловке.
Делайте выводы.