
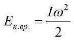
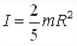
, где I – момент инерции тела вращения, вычисляемый по формуле (для шара):

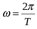
w – угловая скорость вращения; зависящая от времени обращения объекта вокруг своей оси:

Для расчетов в таблице 1 собраны физические данные объектов вращения. Далее по вышеприведенным формулам получаем сравнительные характеристики объектов вращения и сводим их в таблицу 2. Прошу обратить внимание, автор вводит новый объект в Астрологию – Галактический Центр, но обо всем по порядку.
Берем на себя неописуемую дерзость и по аналогии с законом Кулона и гравитации, придумываем новую формулу в физики:

, где E1 и E2 – кинетическая энергия вращения космических объектов; R – расстояние между объектами вращения; s – непонятная нам новая физическая константа, принимаемая в нашем случае за единицу. Напоминаю, мы не занимаемся открытиями, мы занимаемся сравнением.
В результате несложных математических расчетов получаем числовые величины для относительного сравнения (таблица 3). Они отражают зависимость массы объекта, скорости его вращения, его геометрических параметров и расстояния до Земли.
Эти нехитрые вычисления призваны показать разницу от воздействия сил гравитации на Землю и живущих на ней людей и сил от вращения космических объектов. Обращает на себя тот факт, что гравитационная сила центра нашей Галактики и Земли меньше гравитационной силы Солнца и Земли в 3,1 * 10 в -15 раз. В то время как от предполагаемого вращательного эффекта меньше только в 2,1 * 10 в -15 раз. Сила от вращения соизмерима с силой от вращения планеты Нептун и больше, чем от Венеры и Меркурия, которые во все времена учитывались в Астрологии.
Математиком Эли Картаном в 1922 году, для обозначения гипотетического физического поля, порождаемого кручением пространства, было введено понятие торсионное поле. Не смотря на то, что до сих пор теория торсионных полей относят к разряду лженаук, многочисленные опыты показывают наличие воздействия от объектов вращения. Автор работы поддерживает теорию торсионных полей и считает необходимым введение в Астрологию такого понятия как Галактический Центр.