
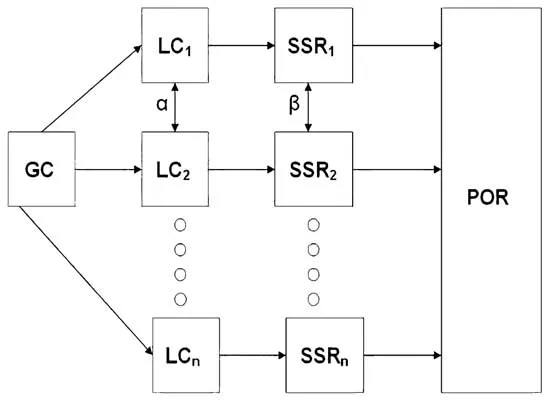
Рисунок 1.4. Диаграмма интерсубъективных информационных связей, где GC – глобальное сознание; LC1, LC2, …, LCn – его локальные аспекты (сознания живых существ); SSR1, SSR2, …, SSRn – вторичные субъективные реальности восприятия LC1, LC2, …, LCn соответственно; POR – первичная объективная (квантово-информационная) реальность; α – информационная связь в POR между группой субъектов LC1, LC2, …, LCn, порождающая согласование реальностей β
Еще один немаловажный момент – что говорит данная концепция о выживании индивидуального сознания после физической смерти:
«Поскольку локальное сознание наблюдателя LC по своей природе отлично от POR и первично по отношению к последней, после диссоциации LC с физическим телом и мозговой структурой оно продолжает свое непрерывное функционирование в качестве оператора POR в одной из других ее подпрограмм, конструируя иную SSR, по большей части не интерсубъективную по отношению к LC, восприятие которых погружено в земную, „физическую” реальность. Таким образом, единственное качественное различие между „воплощенными” и „развоплощенными” LC состоит в том, что они функционируют в разных субъективных реальностях, внешние законы которых могут отличаться друг от друга в большей или меньшей степени. Это относится как к реальностям „развоплощенных” LC, так и к рассмотренным выше „физическим” параллельным мирам. Однако данный факт ни в коем случае не означает невозможность обмена информацией между ними – как через общее сознание GC, так и посредством единой информационной структуры POR. Такой обмен информацией известен как „ченнелинг”, „медиумизм”, а также „инструментальная транскоммуникация”, в которой в качестве вспомогательных средств приема и записи информации используются технические устройства».
Модели и теории, использующие аппарат квантовой механики для описания взаимоотношений между сознанием и физической реальностью, были развиты Р. Пенроузом3132, А. Госвами33, К. Поппером, Д. Экклсом34, А. Букаловым353637.
После продолжительных исследований американский медик и биолог Роберт Ланца (личный сайт – robertlanza.com) пришел к модели биоцентризма, весьма сильно напоминающей авторскую квантово-информационную концепцию38, 39.