
Рисунок 1.5.1. Вот обложка книги, на которой термин «гиперцикл» – определяющий. Здесь же и определение к этому термину:
Гиперцикл – это многоуровневая диссипативно-проточная цикличная структура, в которой циклы разной масштабности соподчиняются между собой так, что это придаёт системе в целом новые широкие и гибкие свойства к адаптации и самоорганизации.
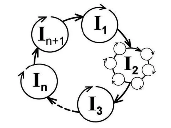
Можно сказать, что гиперцикл – это сложившаяся в эволюции иерархия функциональных циклов, которой живёт любая биологическая особь.
Гиперцикл – основа структурного строения Жизни.
Пытливый читатель может при желании детально проследить эволюцию Жизни – от самых её простейших форм до самых сложных: человеческого интеллекта. И везде он найдёт гиперцикличное строение и гиперцикличное функционирование живых организмов. То, что Жизнь – это цикличное явление, мы с этим соглашаемся с первого раза. Это предельно просто и наглядно. А вот что жизнь на порядок сложнее и по своей природе гиперциклична – в это надо вникнуть, приложив соответствующие интеллектуальные усилия.
Почему к термину «гиперцикл» биологи обратились в последнее время? Всё просто: они в познании Жизни вышли на новый уровень её охвата и обобщения, что и повлекло необходимость в использовании новых понятий. И эти понятия были предложены, проверены на рациональность и научное сообщество приняло их в научную культуру как необходимые, логичные и разумные.
Что такое гиперцикл, можно представить графически. Вот схема трёхуровневого гиперцикла:
